Toggle navigation
HUSTOJ
常见问答
讨论版
问题
来源/分类
状态
排名
竞赛&作业
[
问题
状态
排名
OI 排名
统计
]
Login
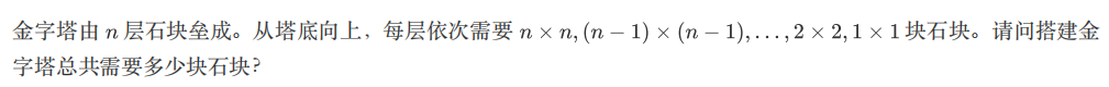
问题 B: GESP C++ 2025年9月一级-编程题2-金字塔
问题 B: GESP C++ 2025年9月一级-编程题2-金字塔
时间限制:
1
Sec
内存限制:
128 MB
提交:
32
解决:
24
[
提交
] [
状态
] [
讨论版
] [命题人:
]
题目描述
输入
一行,一个正整数n,表示金字塔的层数。
1<=n<=50
输出
一行,一个正整数,表示搭建金字塔所需的石块数量。
样例输入
Copy
2
样例输出
Copy
5
提示
样例2:
输入:5
输出:55